Optimization of BP neural network and particle swarm optimization for intelligent elderly care talent cultivation driven by innovation and market demand

Zhimei Wang1, Runli Tian1
1School of Medicine and Health, Yunnan Trade and Foreign Affairs Vocational College, Kunming 650000, Yunnan, China

Abstract

This paper proposes an optimized Backpropagation (BP) neural network for improving intelligent elderly care talent training. To address BP’s limitations, including noise sensitivity and slow convergence, we introduce Particle Swarm Optimization (PSO) to refine network weights and thresholds. The model integrates course quality, teacher effectiveness, platform support, and market demand, aiming to optimize elderly care service talent cultivation. Experimental results demonstrate a significant improvement in prediction accuracy, with average error reduced from 9.94% to 6.3%. This enhanced model offers a more efficient and accurate solution for aligning educational outcomes with industry needs.

Keywords: elderly care services, vocational training, smart elderly care, curriculum optimization, industry-education integration

1. Introduction

The need for senior care services is growing due to the severity of the world’s aging problems, particularly in China where the population is aging quickly and extensively. As per the National Bureau of Statistics data from 2022, the number of elderly individuals in China who are 60 years of age or older is 280 million. It is anticipated that this number will surpass 300 million during the 14th Five Year Plan period, and it may even surpass 400 million around 2035, signifying the onset of a severe aging phase [19]. At the same time, the data of the seventh national population census showed that the elderly aged 60 and above in rural areas accounted for 23.81% of the total rural population, and those aged 65 and above accounted for 17.72%.According to the data, there is a notable disparity in the rate of aging between rural and urban areas, which presents a substantial obstacle for the aged care service system.

As a response to an aging population, the innovative senior care concept known as “smart elderly care” has progressively gained traction. In addition to utilizing intelligent technology, smart elderly care also aims to increase the effectiveness and caliber of services provided to the elderly [2]. However, in practical operation, the implementation and promotion of smart elderly care services face many challenges. The first issue is the alignment between the cultivation of elderly care service talents and market demand.At present, there are still problems in the education and training of smart health elderly care services and management majors in Chinese vocational colleges, such as curriculum design not being close to reality, insufficient practical opportunities, and a disconnect between teaching and industry needs [10]. These issues have made it difficult for the trained professionals to adapt to the rapidly developing elderly care service market, affecting the overall quality and effectiveness of smart elderly care services.

On the other hand, the construction of rural elderly care service system also faces serious difficulties. The weak foundation of rural economy, scarce medical resources, and serious problem of empty nest elderly have led to the dilemma of “talent shortage, low service level, and high cost” in rural elderly care services [6]. In addition, rural elderly care service personnel generally lack professional training and are mostly temporary workers from local areas, with low levels of specialization and inability to guarantee service quality. More seriously, the traditional elderly care concept in rural areas is deeply rooted, lacking awareness and acceptance of modern elderly care services, which further restricts the development of the elderly care service system.

In response to these challenges, current research has proposed some solutions, but there are still shortcomings. Researchers suggest that through the integration of industry and education, guided by market demand, the quality of training for elderly care service talents can be improved [14]. Specific measures include optimizing the curriculum system, strengthening practical teaching, and collaborating with enterprises to carry out order based training; Establish a “dual teacher” teaching team and introduce industry experts to participate in teaching; Utilize information technology platforms to conduct project-based simulation training and improve students’ practical operational abilities [7]. However, these solutions still have some problems in practical applications, such as insufficient integration of industry and education, difficulty in accurately matching teaching with industry needs, and uneven allocation of practical teaching resources.

This article aims to systematically analyze the current situation and problems of talent cultivation in smart elderly care services, propose optimization strategies, and provide reference for improving the quality of elderly care services in China. The research will be carried out from the following perspectives:

1) Investigating strategies to optimize the curriculum and teaching content in vocational colleges to better align with the practical needs of the elderly care industry. Through analysis of current industry-education integration models, the study aims to propose talent cultivation programs that are more responsive to market demand.

2) Examining methods to enhance the hands-on operational skills of elderly care service professionals by refining course structures and strengthening practical training, ensuring that graduates are well-prepared for their future roles.

3) Assessing ways to improve the overall quality and teaching effectiveness of faculty by introducing industry experts and technical professionals, thereby ensuring that the curriculum remains both current and practically relevant.

4) Exploring the application of modern information technologies—such as educational apps and cloud-based platforms—to foster students’ practical abilities, creativity, and innovation, while supporting the development of new models for intelligent experimental teaching.

The advantage of this article lies in the combination of theory and practice. Through in-depth analysis of the current situation of talent cultivation in smart elderly care services, targeted and actionable solutions are proposed.This article not only focuses on the education and training of vocational colleges, but also considers the actual needs of the industry and society, striving to provide systematic improvement measures in optimizing the curriculum system, enhancing the construction of the teaching staff, and utilizing information technology. These studies will help promote the cultivation of elderly care service talents and align with market demand, improve the overall quality of smart elderly care services, and provide strong support for the development of China’s elderly care service system.

2. Basic status of elderly care services

As of 2022, 280 million Chinese citizens were 60 years of age or older, according to data from the National Bureau of Statistics. Based on information provided by the National Health Commission, it is anticipated that China’s senior population—those 60 years of age and older—will surpass 300 million during the 14th Five Year Plan period, moving into the moderate aging stage, and surpass 400 million by 2035, moving into the severe aging stage [13]. The population in China’s rural areas who are 60 years of age or older and those who are 65 years of age or older make up 23.81% and 17.72% of the country’s total rural population, respectively, according to data from the seventh national population census. The aging population in rural areas is higher than in metropolitan areas, and building an elderly care service system there is more difficult. China’s rural economy currently has a weak base due to low service levels, a high number of old people leaving the workforce, and a shortage of medical resources. The following characteristics of the rural senior care service system represent its fundamental state [15].

Firstly, due to issues such as rural economy and social security, there is a reality of being unable to recruit or retain elderly nursing talents in rural areas. The prominent contradiction between the real demand and supply of elderly care talents has also led to a situation where rural elderly care services are basically in a state of “huge talent gap, low professional service level but high cost”, resulting in the dilemma of “unable to buy services, unable to afford services” in rural elderly care services [11].

Secondly, the majority of elderly care workers in rural areas come from local communities and are mostly older, untrained, temporary caregivers or caregivers; A very small portion of them are transferred from nursing positions in medical and health institutions, and their knowledge system, service philosophy, job content, and methods differ greatly from those of elderly care work.According to data from the Elderly Care Service Department of the Ministry of Civil Affairs, there are currently about 370000 staff members in nursing homes in China, but only over 200000 real caregivers. The certification rate of these staff members is less than 50%, and primary elderly care caregivers account for more than 70% of certified personnel. There is a huge shortage of specialized elderly care talents [3]. The workforce for aged care services in rural areas is unstable due to factors such long work hours, high labor intensity, poor social recognition, unclear career development prospects, low compensation, and perks associated with providing these services [18].

The third issue is the outdated concept of elderly care in rural areas and the lack of self-awareness in elderly care. On the one hand, due to economic conditions, cultural level and other reasons, the self health management awareness of rural elderly people is backward, often leading to the mindset of not wanting to treat minor illnesses and being unable to treat major illnesses; However, the extant traditional notion of “raising children to support the elderly” has also hampered the development of the rural aged care service system. Young people leaving rural areas in search of employment has also resulted in a huge number of elderly individuals in empty nests [5].

Fourthly, the talent cultivation of elderly care majors in vocational education in China is still in the exploratory stage, and there is a need for further in-depth exploration and research on the teaching staff, teaching ability, and the construction of a social elderly care system. These issues have exacerbated the urgent shortage of elderly care talents and the low level of professional expertise.

3. Three concepts for developing skill sets for senior care services

Research on the development of elderly care abilities and the establishment of rural elderly care service systems in China has steadily gained popularity due to the country’s aging population and extensive rural area redevelopment.However, the cultivation of elderly care service talents in China is still in the initial exploration stage, and the contradiction between demand and supply for rural elderly care nursing personnel is prominent. On the one hand, there are still problems such as a shortage of rural elderly care service practitioners, poor structural planning, and low professional quality;On the other hand, there are still problems with the training of elderly care talents in most vocational colleges in China, such as unclear training objectives, insufficient curriculum development, insufficient integration of industry and education, and lack of training services. At the same time, the talents trained by schools often show problems such as “not being able to go down and stay” [8].

The attention and research on the construction of elderly care service systems in foreign countries started early and have a systematic approach, manifested in the emphasis on specialized talent cultivation and the pursuit of effective socialized training and services [17]. Japan’s elderly care talent training system has a clear hierarchy, clear goals, and high professional level, making it one of the first countries to cultivate rural elderly care service talents.The cultivation of elderly care talents in the United States focuses on the development of students’ comprehensive quality, social service awareness, and communication skills, promoting the integration of teaching, practice, and research, connecting classroom teaching with on-site education and community practice teaching, actively carrying out community services, and enhancing the school’s social service and radiation driving ability.Australia has also established a multi-level and diversified education and training system for elderly care talents, with a focus on specialization and personalization in training content, and targeted training for different categories of elderly care talents.

We think that vocational colleges may support the development of rural elderly care services through talent cultivation and efficient social services, based on the current fundamental state of rural elder care. The following features show the particular concepts.

3.1. Training plan

Optimize the training plan for rural elderly care professionals from the aspects of talent training objectives, curriculum system, practical teaching, vocational quality education, enrollment, and employment guidance, and construct an integrated linkage mechanism for enrollment, training, and employment of vocational education elderly care professionals.Optimize the professional settings of colleges and universities in terms of enrollment, enhance the attractiveness of majors, such as moderately adjusting enrollment plans, reducing admission scores for elderly care majors, and adopting welfare measures such as tuition fee reductions and living allowances; Optimize and adjust enrollment strategies and teams, and strengthen the promotion of enrollment majors.A coordination mechanism for overall talent cultivation is established to jointly promote the education and continuing education of elderly care talents. In terms of employment policies, support is provided for free tuition fees for enrollment in elderly care majors, a large number of “targeted training” programs, and recommended employment opportunities. Guidance and education on occupational role recognition, employment positioning, and career planning within the school are strengthened to reverse students’ blind spots and misconceptions about the elderly care profession.

To delve into the specific scenarios of rural elderly care work, grasp the realistic demands, existing problems, and difficulties of nursing subjects and objects in the rural elderly care service system, continuously optimize and improve talent training programs from the perspective of talent cultivation, deepen the integration of industry and education, optimize the curriculum system, reform teaching methods, and improve practical systems that meet the needs of rural elderly care, promote the integration of majors with the elderly care industry and professional positions, the integration of professional course content with professional standards, the integration of teaching processes with production processes, and continuously improve the quality of professional talent training.Let the training of elderly care talents in vocational education not only stay at the cognitive level of professional leaders, but also be effectively revised and implemented in a timely manner in combination with social, practical, and market demands, providing the fullest support for the development of the elderly care talent training industry.

3.2.Transforming elderly care awareness

The continuous development of social aging has also led to the adjustment of elderly care concepts that are not suitable for social development. Currently, there are widespread outdated thinking patterns and concepts in rural areas such as raising children to prevent aging, “refusing nursing homes”, “not wanting to treat minor illnesses, and not being able to treat major illnesses”. In addition, due to the special characteristics of rural economy, population, and region, advocating and developing healthy elderly care concepts according to traditional thinking methods cannot promote the construction and development of rural elderly care service systems.Vocational colleges have specialized talent resources for elderly care majors. Based on the current situation and needs of rural elderly care subjects, they carry out volunteer service activities such as lectures and lectures on healthy elderly care, improve the awareness of elderly care services, promote the innovation of traditional culture and ideological concepts of rural elderly care, gradually transform the consciousness and attitude of rural elderly care, meet the growing needs of the elderly from a spiritual perspective, and promote the transformation of the elderly care concept of rural elderly care population from “being elderly” to “actively elderly care” and “enjoying elderly care”.

The establishment and cultivation of service awareness is an important quality goal for students majoring in elderly care. Organizing elderly care students to go deep into rural elderly care institutions for volunteer service can allow them to immerse themselves in the work content, methods, and further understand their professional roles and value significance, thereby promoting the establishment and improvement of their service awareness.In the process of carrying out volunteer service activities, interpret the relevant policies of the national rural elderly care service system construction, share the top-level design blueprint of the country in the field of elderly care and nursing, let students understand the development prospects of the rural elderly care and nursing industry, and increase the willingness of elderly care and nursing students to actively seek employment in grassroots medical and health elderly care institutions.

4. Methodology

Elderly people Wushu physical fitness index is not only an important reference index to reflect athletes’ competitive ability, but also the basis of assessment. The selection and determination of indicators is not only the primary task of evaluation, but also an important factor affecting the overall results of evaluation. The previous research mainly focuses on the athletes’ sports forms and functions, and evaluates the athletes’ physical quality, which finally constitutes a system of three primary indicators, ten secondary indicators and twelve athletes’ physical fitness evaluation indicators, as shown in Figure 1.

4.1. Principle of DL_measure algorithm

According to the information obtained through the physical intelligence control system, evaluate and predict through the intelligent algorithm, and finally transmit the analysis results to the terminal equipment, as well as the relevant training programs that users can choose or modify on this basis. Considering that the instructor needs to distinguish the physical condition and physical tendency of athletes according to the monitoring data in the follow-up training, and the relationship between the monitoring data and the state evaluation results is difficult to describe directly, BP neural network can be used for nonlinear fitting [12,4].

4.2. Learning mechanism of BP neural network

The structure of BP neural network consists of input layer, hidden layer and output layer. The complete learning mechanism includes forward propagation signal, backward propagation error, memory learning and learning cohesion. The weight coefficient of each neuron in each hidden layer is continuously adjusted to minimize the error signal, as shown in Figure 2.

4.2.1. Signal forward propagation

As in Table 1, \(i=1,…,n;j=1,…,p;t=1,…,q\), the activation function \(f(\cdot )\) is generally used as Sigmoid function, then it can be expressed by Eqs. (1) and (2), respectively: \[\label{GrindEQ__1_} S_{j}^{k} =\sum _{i=1}^{n}w_{ij} x_{i} -\theta _{j} ,\tag{1}\] \[\label{GrindEQ__2_} b_{j}^{k} =f\left(S_{j}^{k} \right)=\frac{1}{1+e^{-S_{j}^{k} } } .\tag{2}\]

The input and output of the output layer can be expressed in Eqs. (3) and (4). \[\label{GrindEQ__3_} L_{j}^{k} =\sum _{j=1}^{p}v_{jt} b_{j} -\gamma _{t} ,\tag{3}\] \[\label{GrindEQ__4_} C\_{t}^{k} =f\left(L\_{t}^{k} \right)=\frac{1}{1+e^{-L\_{t}^{k} } }.\tag{4}\]

Table 1 BP neural network settings for each layer
Input Node Output Node Country value Weights Activation function
Input Layer \(X_{k} =(x_{1} ,…,x_{n} )\) \(Y_{k} =(y_{1} ,…,y_{q} )\) \(\{ w_{ij} \}\)
Hidden layer \(S_{k} =(s_{1} ,…,s_{p} )\) \(B_{k} =(b_{1} ,…,b_{p} )\) \(\{ \theta _{j} \}\) \(\{ \nu _{jy} \}\) \(f(\cdot )\)
Output Layer \(L_{k} =(l_{1} ,…,l_{q} )\) \(C_{k} =(c_{1} ,…,c_{q} )\) \(\{ \gamma _{i} \}\)
4.2.2. Error back-propagation

The average error between the expected and actual values of the neural network is shown in Eq. (5): \[\label{GrindEQ__5_} E_{k} =\frac{1}{2} \sum _{t=1}^{q}\left(Y_{t}^{k} -C_{t}^{k} \right)^{2} ,\tag{5}\] where, \(\frac{\partial E_{k} }{\partial x} =\frac{\partial E_{k} }{\partial C_{t} } \cdot \frac{\partial C_{k} }{\partial v_{jt} } =-\delta _{t}^{k} C_{t} \left(1-C_{t} \right)\) indicates the influence degree of weight change of neural network on root mean square error. According to the gradient descent principle [9,16,1], the negative ratio of the correction value \(b_{j} \Delta v_{jt} ,\frac{\partial E_{k} }{\partial v_{jt} }\) of the network weights is. \[\label{GrindEQ__6_} \Delta v_{jt} =-\alpha \left(\frac{\partial E_{k} }{\partial v_{jt} } \right)=-\alpha \delta _{t}^{k} C_{t} \left(1-C_{t} \right)b_{j} =\alpha d_{t}^{k} b_{j} ,\tag{6}\] where, \(d_{t}^{k} =-\delta _{t}^{k} C_{t} \left(1-C_{t} \right)=\frac{\partial E_{k} }{\partial \gamma _{t} } =\frac{\partial E_{k} }{\partial C_{t} } \cdot \frac{\partial C_{k} }{\partial L_{t} } \cdot \frac{\partial L_{t} }{\partial \gamma _{t} }\) denotes the change intensity of neural error affecting the output result, and adjust the threshold of each node in the output layer, \[\label{GrindEQ__7_} \Delta \gamma _{t} =-\alpha \left(\frac{\partial E_{k} }{\partial \gamma _{t} } \right)=-\alpha d_{t}^{k} .\tag{7}\]

The change of the hidden layer connection weight to the input layer: \[\begin{aligned} \label{GrindEQ__8_} \Delta w_{ij} =&-\beta \left(\frac{\partial E_{k} }{\partial w_{ij} } \right) \notag\\=&-\beta \left(\sum _{t=1}^{q}\frac{\partial E_{k} }{\partial C_{t} } \cdot \frac{\partial C_{k} }{\partial L_{t} } \cdot \frac{\partial L_{t} }{\partial b_{t} } \right)\frac{\partial b_{j} }{\partial S_{j} } \cdot \frac{\partial S_{j} }{\partial w_{ij} } \notag \\ =&\beta E_{j} \alpha _{i} . \end{aligned}\tag{8}\]

The amount of threshold change for the hidden layer is: \[\begin{aligned} \label{GrindEQ__9_} \Delta \theta _{j} =&-\beta \left(\frac{\partial E_{k} }{\partial \theta _{j} } \right)\notag\\ =&-\beta \left(\sum _{t=1}^{q}\frac{\partial E_{k} }{\partial C_{t} } \cdot \frac{\partial C_{k} }{\partial L_{t} } \cdot \frac{\partial L_{t} }{\partial b_{t} } \right)\frac{\partial b_{j} }{\partial S_{j} } \cdot \frac{\partial S_{j} }{\partial \theta _{j} } \notag \\ =&\beta E_{j} . \end{aligned}\tag{9}\]

5. Establishment of talent cultivation model

For the comprehensive popularization and construction of a professional group+enterprise group industry education integration model, the following aspects are mainly analyzed: guided by social needs and employment, focusing on vocational ability cultivation, continuously innovating in teaching concepts, training objectives, teaching system design, etc., and optimizing the school running mode;Organically integrating resources from government, schools, research institutions, elderly care service agencies, etc., building an elderly care industry college, jointly developing courses with enterprises, jointly formulating relevant standards for the elderly care industry, and jointly undertaking training for elderly care related nursing personnel with enterprises, so that students can go deep into the front line of enterprises at school, understand their majors, and promote the healthy development of the elderly care industry; The establishment of a professional curriculum system and the implementation of a credit system ensure the professional development and diversified growth of students.

In order to systematically analyze and optimize the integration of industry and education and market demand in the study of new models for talent cultivation in smart elderly care services, we need to establish mathematical models and formula derivations. The following is a model building process based on optimization problems, aimed at solving the problem of integrating industry and education with market demand through mathematical methods.

5.1. Variable definition

N: The total number of elderly care service talents trained by vocational colleges.
M: The actual demand for elderly care service talents in the market.
\(C_{i}\): Evaluation of the cultivation effect of Class III courses, i=1,2,,k,i = 1, 2, \(l_{dots}\), k,i=1,2,,k.
\(W_{i}\): The weight of the third type of course, indicating its importance in overall cultivation.
\(P_{j}\): Each teacher’s teaching effectiveness rating, j=1,2,,l,j = 1, 2, \(l_{dots}\), l,j=1,2,,l.
\(R_{j}\): Each teacher’s industry practice experience, j=1,2,,l,j = 1, 2, \(l_{dots}\), l,j=1,2,,l.
S: Overall comprehensive quality evaluation of students.
F: The functional rating of the information technology platform evaluates the platform’s level of support for teaching.

5.2. Objective function

We hope to maximize the cultivation effect E, which integrates the support of course quality, teacher level, and information technology platform. The objective function can be expressed as: \[\label{GrindEQ__10_} E=\sum _{i=1}^{k}W_{i} \cdot C_{i} +\sum _{j=1}^{l}\left(P_{j} \cdot R_{j} \right)+F ,\tag{10}\] where, \(\sum _{i=1}^{k}W_{i} \cdot C_{i}\) represents the comprehensive rating of course quality, \(\sum _{j=1}^{l}P_{j} \cdot R_{j}\) represents the comprehensive teaching effectiveness of the teaching team and \(F\) represents the support effectiveness of the information technology platform.

5.2.1. Course quality rating

Course quality \(C_{i}\) can be balanced through the actual effectiveness of the course and student feedback. We introduce course effectiveness \(E_{i}\) and course participation and degree \(A_{i}\) to further refine course grading: \[\label{GrindEQ__11_} C_{i} =\alpha E_{i} +\beta A_{i} ,\tag{11}\] wherein, \(\alpha\)and \(\beta\) are weight coefficients, \(E_{i}\) is the actual effectiveness rating of the course, and \(A_{i}\) is the participation rating of the course.

5.2.2. Teacher teaching effectiveness rating

The teaching effectiveness of teachers \(P_{j}\) can be evaluated based on a comprehensive evaluation of teaching quality and industry experience. Assuming that teaching quality \(T_{j}\) and industry experience \(R_{j}\) have different impact coefficients \(\gamma _{j}\) and \(\delta _{j}\) on teacher effectiveness: \[\label{GrindEQ__12_} P_{j} =\gamma _{j} T_{j} +\delta _{j} R_{j} ,\tag{12}\] wherein, \(\gamma _{j}\) and \(\delta _{j}\) are the weight coefficients of teacher teaching quality and industry experience, \(T_{j}\) is the teacher’s teaching quality rating, and \(R_{j}\) is the teacher’s industry practice experience rating.

5.2.3. Information technology platform rating

The rating of Information Technology Platform 11 can be determined by Platform Function 22 and Feedback 33: \[\label{GrindEQ__13_} F=\theta F_{f} +\phi F_{u} ,\tag{13}\] wherein, \(\theta\) and \(\phi\) are the weight coefficients of platform functions and feedback, \(F_{f}\) is the platform’s function rating, and \(F_{u}\) is the user’s feedback rating.

5.2.4. Student comprehensive quality rating

The comprehensive quality of students \(S\) can be expressed through academic ability \(S_{a}\) and professional ability \(S_{p}\): \[\label{GrindEQ__14_} S=\lambda S_{a} +\mu S_{p} ,\tag{14}\] wherein, \(\lambda\) and \(\mu\) are the weight coefficients of academic and vocational abilities, \(S_{a}\) is the student’s academic ability score, and \(S_{p}\) is the student’s vocational ability score.

5.2.5. Optimizing the objective function

By substituting the improved parts into the objective function, a more detailed objective function formula can be obtained: \[\label{GrindEQ__15_} E=\sum _{i=1}^{k}W_{i} \left(\alpha E_{i} +\beta A_{i} \right) +\sum _{j=1}^{l}W_{i} \left(\gamma _{j} T_{j} +\delta _{j} R_{j} \right)+\left(\theta F_{f} +\phi F_{u} \right) .\tag{15}\]

5.2.6. Market demand docking

In order to ensure that the cultivated talents can meet market demand, we introduce a market demand rating of D: \[\label{GrindEQ__16_} D=\frac{N}{M} ,\tag{16}\] wherein, N is the total number of elderly care service talents trained by vocational colleges, and M is the actual demand for elderly care service talents in the market. The goal is to maximize the market demand matching degree D, making it as close as possible to 1

5.2.7. Curriculum quality constraints

The total weight of the course should be 1, i.e., \[\label{GrindEQ__17_} \sum _{i=1}^{k}W_{i} =1 ,\tag{17}\]

5.2.8. Comprehensive quality constraints

\[\label{GrindEQ__18_} S\ge S_{min} .\tag{18}\]

The ultimate objective function can be combined with market demand alignment and comprehensive quality requirements, taking into account the degree of matching between the training effect E and market demand. The form of the objective function is: \[\begin{aligned} \label{GrindEQ__19_} \begin{cases} \text{Maximize} E=\sum _{i=1}^{k}W_{i} \left(\alpha E_{i} +\beta A_{i} \right) +\sum _{j=1}^{l}W_{i} \left(\gamma _{j} T_{j} +\delta _{j} R_{j} \right)+\left(\theta F_{f} +\phi F_{u} \right) \\ \text{Subject to} \frac{N}{M} \ge D_{min} \\ \sum _{i=1}^{k}W_{i} =1 \\ S\ge S_{min} , \end{cases} \end{aligned}\tag{19}\] where, \(D_{min}\) is the minimum requirement for market demand alignment.

By deriving detailed formulas for the objective function, we have comprehensively considered multiple factors such as course quality, teacher teaching effectiveness, support from information technology platforms, students’ comprehensive qualities, and market demand alignment. This improved objective function more comprehensively reflects the actual needs of optimizing the training of intelligent elderly care service talents, providing a scientific basis for formulating effective training strategies and improving service quality.

6. Experiments

To demonstrate the performance of the proposed algorithm, experiments were conducted on the DL_measure algorithm. The data for the whole experiment are the usual training data of 30 athletes from university martial arts combat teams collected by the smart undershirt, and these data are used as the training set for training. In sports, the physical quality of athletes is the most important factor to improve sports ability. The index system was established, and after completing the training with the training kit, BP and PSO-BP networks are tested respectively, with results shown in Table 2.

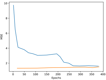
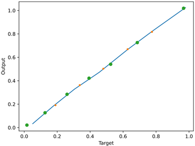
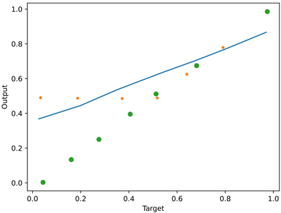
As shown in Figure 3 and Figure 4, the optimization speed of BP network is much faster than that before optimization. In addition, the average error of the optimized neural network is 8.3164\(\mathrm{\times}\)\(10^{-6}\), and the average error of the 389 step pre-optimized neural network is 9.9408\(\mathrm{\times}\)\(10^{-6}\), which reflects the efficiency and accuracy of the neural network after particle swarm optimization. This \(R\) value represents the linear relationship between the target value and the output intensity. In Figure 4, \(R\)-value in the BP network is 0.89856, and \(R\)-value in Figure 5 is 099999, indicating that the optimized BP network more accurately reflects the regression relationship between output and target.

Table 2 Test data
1 2 3 4 5 6 7 8 9 10 11 12 Score
1 56.8 62 34.3 0 8.97 52 1.43 3.52 183.2 100 4.25 4223 100
2 51 55 24.7 1.21 9.45 49 1.55 4.01 181.5 92.32 6.57 3899 87
3 49.68 54 23.1 1.89 9.68 48 1.59 4.08 187.2 90.98 7.32 3768 80
4 48.65 55 21.5 2.69 9.72 46 1.65 4.15 178.5 88.87 8.52 3593 76
5 47.55 53 19.8 3.28 9.85 45 1.68 4.22 175.8 88.52 9.48 3459 72
6 45.55 52 18.2 3.99 9.98 44 1.73 4.29 187.9 87.11 10.55 3265 68
7 45.58 47 14.2 5.22 10.25 43 1.82 4.45 189.9 84.65 12.45 2936 54
8 45.39 45 12.6 6.31 10.45 40 1.92 4.58 171.5 82.01 14.42 2616 47
9 43.11 46 9.7 7.87 10.68 39 1.95 4.65 191.7 80.69 1.56 2449 40
10 36.28 39 -01.00 12.01 11.45 37 2.22 5.12 162.1 73.29 21.35 1562 11

7. Conclusion

This study conducted in-depth analysis and exploration on the new model and practice of talent cultivation for smart elderly care services. The main objective is to evaluate the effectiveness and adaptability of the current training model and propose corresponding improvement suggestions. Based on a comprehensive analysis of course quality, teacher teaching effectiveness, information technology platform, students’ overall quality, and market demand alignment, we have drawn the following main conclusions:

The overall quality of courses in the current smart elderly care service major is relatively high, but there are certain differences between different courses. The course quality rating indicates the direction that needs to be optimized, including the modernization of course content and the optimization of teaching resource allocation. In order to improve the quality of courses, special improvements should be made for courses with lower scores, strengthening the practicality and cutting-edge nature of the courses, and ensuring that students can master the latest industry knowledge and skills.

The comprehensive evaluation of teacher teaching effectiveness reveals the diversity of teachers’ teaching and industry practice experience. Although most teachers perform well, there is still a phenomenon of uneven teaching effectiveness. To enhance the overall teaching quality of teachers, it is recommended to strengthen their industry practice experience and teaching ability, and provide systematic training and career development opportunities. In addition, teachers are encouraged to participate in curriculum development and teaching research to improve their teaching level.

The high functionality and user feedback ratings of the information technology platform demonstrate its important role in supporting smart elderly care service education. However, in order to continuously meet user needs, the platform’s functionality and interface design need to be regularly updated and optimized. The platform should strengthen user experience research and combine emerging technologies to improve teaching effectiveness, such as enhancing practical training through virtual reality or augmented reality technology.

The comprehensive quality score of students shows that although they perform well in academic and professional abilities, there is still room for further improvement in professional abilities, especially communication and management skills. Therefore, it is recommended to add more vocational ability training modules and provide abundant internship opportunities in the training process to enhance students’ market competitiveness and employment adaptability.

References:

  1. M. J. Al Dujaili, H. Z. Dhaam, and M. T. Mezeel. An intelligent fall detection algorithm for elderly monitoring in the internet of things platform. Multimedia Tools and Applications, 83(2):5683–5695, 2024. https://doi.org/10.1007/s11042-023-15820-0.
  2. S.-H. Chang, C.-H. Hsia, and W.-Z. Hong. A secured internet of robotic things (iort) for long-term care services in a smart building. The Journal of Supercomputing, 79(5):5276–5290, 2023. https://doi.org/10.1007/s11227-022-04845-1.
  3. C. Di Napoli, G. Ercolano, and S. Rossi. Personalized home-care support for the elderly: a field experience with a social robot at home. User Modeling and User-Adapted Interaction, 33(2):405–440, 2023. https://doi.org/10.1007/s11257-022-09333-y.
  4. S. Hyväri, S. Elo, S. Kukkohovi, and S. Lotvonen. Utilizing activity sensors to identify the behavioural activity patterns of elderly home care clients. Disability and Rehabilitation: Assistive Technology, 19(3):585–594, 2024. https://doi.org/10.1080/17483107.2022.2110951.
  5. M. Jarrah, H. Al Hamadi, A. Abu-Khadrah, and T. M. Ghazal. Iomt-based smart healthcare of elderly people using deep extreme learning machine. Computers, Materials & Continua, 76(1):19–33, 2023. https://doi.org/10.32604/cmc.2023.032775.
  6. M. Luperto, J. Monroy, J. Renoux, F. Lunardini, N. Basilico, M. Bulgheroni, A. Cangelosi, M. Cesari, M. Cid, A. Ianesi, et al. Integrating social assistive robots, iot, virtual communities and smart objects to assist at-home independently living elders: the movecare project. International Journal of Social Robotics, 15(3):517–545, 2023. https://doi.org/10.1007/s12369-021-00843-0.
  7. P. Maresova, L. Řezný, P. Bauer, O. Fadeyi, O. Eniaeywu, S. Barakovic, and J. Barakovic Husic. An effectiveness and cost-estimation model for deploying assistive technology solutions in elderly care. International Journal of Healthcare Management, 16(4):588–603, 2023. https://doi.org/10.1080/20479700.2022.2134635.
  1. M. Marinelli, J. Zhang, and Z. Ying. Present and future trends of sustainable eldercare services in China. Journal of Population Ageing, 16(3):589–617, 2023. https://doi.org/10.1007/s12062-022-09372-8.
  2. S. Neumann, J. Bleja, T. Krüger, and U. Grossmann. Participating citizens = smart citizens? Applying the human-centered design approach on a digital care platform. Digital Government: Research and Practice, 4(3):1–13, 2023. https://doi.org/10.1145/3604618.
  3. H.-O. Park, S. W. Kim, and S.-I. Yoon. Evaluation of IoT sensor-based care-service effectiveness for the elderly living alone. Journal of Digital Contents Society, 24(9):2157–2167, 2023. http://dx.doi.org/10.9728/dcs.2023.24.9.2157.
  4. M. Takanokura, R. Kurashima, T. Ohhira, Y. Kawahara, and M. Ogiya. Implementation and user acceptance of social service robot for an elderly care program in a daycare facility. Journal of Ambient Intelligence and Humanized Computing, 14(11):14423–14432, 2023. https://doi.org/10.1007/s12652-020-02871-6.
  1. P. Wen and M. Chen. A new model for elderly emotional care routing and scheduling with multi-agency and the combination of nearby services. International Journal of Human–Computer Interaction, 39(5):1111–1120, 2023. https://doi.org/10.1080/10447318.2022.2050544.
  2. Y. Yamout, T. S. Yeasar, S. Iqbal, and M. Zulkernine. Beyond smart homes: an in-depth analysis of smart aging care system security. ACM Computing Surveys, 56(2):1–35, 2023. https://doi.org/10.1145/3610225.
  3. C.-H. Yang, Y.-C. Chen, W. Hsu, and Y.-H. Chen. Evaluation of smart long-term care information strategy portfolio decision model: the national healthcare environment in Taiwan. Annals of Operations Research, 326(1):505–536, 2023. https://doi.org/10.1007/s10479-023-05358-7.
  4. M. Yang, X. Tian, and T. Hua. Transparent, stretchable, and adhesive conductive ionic hydrogel-based self-powered sensors for smart elderly care systems. ACS Applied Materials & Interfaces, 15(9):11802–11811, 2023. https://doi.org/10.1021/acsami.2c22331.
  5. X. Zhao and B. Wang. A study on requirement optimization of intelligent health care information system for rural elderly based on improved fkm-topsis method. Information Services & Use, 44(2):177–194, 2024. https://doi.org/10.3233/ISU-230198.
  6. Y. Zhao, S.-G. Sazlina, F. Z. Rokhani, J. Su, and B.-H. Chew. The expectations and acceptability of a smart nursing home model among Chinese older adults and family members: a qualitative study. Asian Nursing Research, 17(4):208–218, 2023. https://doi.org/10.1016/j.anr.2023.08.002.
  7. J. Zhou, Q. Zhao, and J. Zhou. Smart senior care cognition and health among Chinese elderly: a moderated mediation model featuring parent–child relationship and internet use. Current Psychology, 43(5):4374–4386, 2024. https://doi.org/10.1007/s12144-023-04555-8.
  1. J. Zhou, R. Tan, and H.-C. Lin. Development of an integrated conceptual path model for a smart elderly care information system. Universal Access in the Information Society, 22(3):785–810, 2023. https://doi.org/10.1007/s10209-022-00879-7.