Application of stacked machine learning models in population development equations for population forecasting

Jin Wang1, Xinyu Zhai2, Shihan Ma2, Qing Lv1
1Hebei Provincial Key Laboratory of Information Fusion and Intelligent Control, Shijiazhuang, Hebei, 050010, China
2College of Engineering, Hebei Normal University, Shijiazhuang, Hebei, 050024, China

Abstract

The current changes in China’s population structure and dynamics have led to profound challenges in population planning, forecasting, decision-making, and early warning. To address the issues of predicting age- and gender-specific population retention, migration, and birth rates, a combination model of Multilayer Perceptron (MLP) and Random Forest (RF) is constructed using stacking techniques, with a discrete population development equation as the base model. The MLP-RF model is employed to perform regression training on population data, resulting in a novel ensemble approach to population forecasting. The study uses the data from the sixth and seventh national censuses of Hebei Province, reconstructing population data for 2010-2020. After data training and error evaluation, it is demonstrated that the ensemble forecasting model has excellent predictive capabilities for population retention, migration, and birth-related issues.

Keywords: population forecasting model, population development equation, multilayer perceptron, random forest, stacked model

1. Introduction

Population development is a strategic issue related to peace and development in today’s world, and all major issues in the process of modernization are closely related to population development [16, 4]. As the most populous developing country in the world, China’s population is always a major issue affecting comprehensive, coordinated and sustainable development, and a key factor constraining economic and social development [17, 12, 8]. Therefore, effective and accurate prediction of China’s future population size is of great significance to the country’s continuous promotion of economic and social development and progress as well as the realization of the strategy of comprehensive human development [18, 1]. At present, there are a large number of literature studies on China’s population growth, but most of them are based on the overall level of China’s population without considering the specific conditions of China, i.e., there are differences between urban and rural areas in terms of medical care, sanitation, education, and the economy, and these differences will inevitably lead to the different characteristics of births and deaths of the urban and rural populations [14, 3, 13, 23].

China is a populous country, and the population problem has always been one of the key factors constraining China’s development [21, 7]. It is an important issue to make analysis and prediction of China’s population based on the available data and using mathematical modeling. In recent years, China’s population development has shown some new characteristics, such as the accelerated aging process, the continuous increase in the sex ratio at birth, and the urbanization of the rural population, all of which affect the growth of China’s population [11, 20, 6]. Population forecasting is accomplished by collecting basic information, building forecasting models and determining forecasting parameters, among other basic aspects [19]. There are more basic methods and models for population forecasting, and the more popular and practical ones are generally age shift algorithms, matrix equations, population development equations and exponential equations [15, 22]. Population development equation is a new set of population forecasting model proposed by Chinese scholar and famous expert of the end-of-control-century era system theory, Song Jianyu, in the late 1970’s. This set of population forecasting model has the ability to predict the population of the country in the future. This set of prediction model has the advantages of more reasonable setting of prediction variables, more careful consideration of prediction parameter factors, and easy to be generalized and applied [10, 5, 2]. Therefore, this set of prediction models is the most popular and widely used set of population prediction models in China today [9]. At the same time, this set of prediction models has also had a great influence outside China.

2. Materials and methods

2.1. Population development equation

The population development equation is composed of a series of matrix equations: \[\label{GrindEQ__1_} \left\{\begin{array}{l} {X^{s} \left(t+1\right)=H^{s} \left(t\right)X^{s} \left(t\right)+\left[1\; 0\; \cdots \; 0\right]^{T} \eta _{0A} \left(t\right)y^{s} \left(0\right)_{t} +W^{s} \left(t\right)^{T} X^{s} \left(t\right)} ,\\ {y^{s} \left(0\right)_{t} =\beta \left(t\right)S^{s} \left(t\right)F^{{\rm T}} \left(t\right)X^{{\rm f}} \left(t\right)} .\end{array}\right. \tag{1}\]

The above equation represents the forecast model for the population aged above zero, while the following equation describes the forecast model for the population aged zero. The superscript \(s\) denotes gender, where \(s=m\) represents males and \(s=f\) represents females \(F^{T} \left(t\right)\) is the transpose of the fertility pattern matrix \(F\left(t\right)\),and \(\beta \left(t\right)\) represents the total fertility rate for year \(t\). \(S^{s} \left(t\right)\) is the birth sex ratio; \(\eta _{0A} \left(t\right)\) represents the infant survival rate for year \(t\), and \(y^{s} (0)_{t}\) denotes the number of newborns by gender in year \(t\).

\(X^{s} \left(t\right)=\left[\begin{array}{l} {X^{s} \left(0,t\right)} \\ {X^{s} \left(1,t\right)} \\ {\quad \cdots } \\ {X^{s} \left(M,t\right)} \end{array}\right]\) is the age-specific population vector, where \(X^{s} \left(k,t\right)\) represents the number of individuals aged \(k\) by gender in year \(t\), with \(k=0,1,\cdots ,M\) and \(M\) representing the maximum age. \[\label{GrindEQ__2_} H^{s} \left(t\right)=\left[\begin{array}{ccccc} {0} & {\cdots } & {\cdots } & {0} & {0} \\ {1-d_{0} } & {0} & {\cdots } & {0} & {0} \\ {0} & {1-d_{1} } & {0} & {\vdots } & {\vdots } \\ {\vdots } & {\vdots } & {\ddots } & {0} & {0} \\ {0} & {0} & {\cdots } & {1-d_{M-1} } & {0} \end{array}\right], \tag{2}\] is the population survival rate matrix for year \(t\),where \(d_{k}\) represents the age-specific mortality rate, which can be calculated as \(d_{k} =\frac{D_{k} }{X_{k} }\),where \(D_{k}\) is the number of deaths at age \(k\), and \(X_{k}\) is the total population at age \(k\), with \(k=0,1,\cdots ,M\),and \(M\) being the maximum age.

The equation \(W^{s} \left(t\right)=\left[\begin{array}{c} {IR\left(0,t\right)} \\ {IR\left(1,t\right)} \\ {\vdots } \\ {IR\left(M,t\right)} \end{array}\right]\) represents the age-specific migration rate vector, where \(IR\left(k,t\right)\) is the migration rate for the population aged \(k\) in year \(t\).This can be calculated as: \[\label{GrindEQ__3_} IR\left(k,t\right)=\frac{hx_{k}^{\left(t\right)} -hx_{k}^{\left(t-1\right)} }{x_{k} } , \tag{3}\] where \(hx_{k}^{\left(t\right)}\) is the retained population of age \(k\) in year \(t\),and \(hx_{k}^{\left(t-1\right)}\) is the retained population of the same age in the previous year \(t-1\), with \(k=0,1,\cdots ,M\), and \(M\) being the maximum age.

The matrix \(F^{T} \left(t\right)=\left[\begin{array}{ccccccccc} {0} & {\cdots } & {0} & {f^{s} \left(\begin{array}{c} {\vartheta ,t} \end{array}\right)} & {\cdots } & {f^{s} \left(\begin{array}{c} {\xi ,t} \end{array}\right)} & {0} & {\cdots } & {0} \end{array}\right]\) represents the transpose of the fertility pattern vector. Here, \(f^{{\rm s}} \left(\varepsilon ,t\right)\) denotes the normalized age-specific fertility rate, with \(\vartheta\) and \(\xi\) representing the minimum and maximum ages of the fertility cycle, where \(\vartheta \le \varepsilon \le \xi .\)

When using the above population development model for population forecasting, the ability to reasonably preset parameters such as mortality patterns, fertility patterns, fertility levels, and population migration rates is critical to the accuracy of the forecast results. In previous population forecasts, these indicators were often given simple assumptions or fixed at values from a particular time period. However, with improvements in productivity levels and the refinement of healthcare systems, fertility and mortality patterns are dynamically changing. Additionally, uneven development of urbanization across regions has led some areas to approach the limits of urbanization or even experience reverse urbanization. Therefore, parameter presetting should utilize big data processing techniques for dynamic identification in order to better reflect population changes.

2.2. MLP-RF stacking algorithm

Multilayer Perceptron (MLP) and Random Forest (RF) are two types of machine learning algorithms, which will be discussed in Sections 2.2.1 and 2.2.2 respectively. To enhance the performance of both algorithms, stacking techniques are employed to combine them, resulting in the MLP-RF stacking model. Stacking is an ensemble learning technique that allows the development of an integrated model starting from multiple regression, linear regression, or classification models. Specifically, the original dataset is first divided into a training set and a validation set. Single models, such as decision trees, neural networks, or support vector machines, are developed on the training dataset. The validation dataset is then used to make predictions using the base models, and the predictions are treated as new features, known as meta-features, which constitute a second-layer dataset or meta-dataset.

Next, using the meta-dataset, a meta-learner is employed to further develop the ensemble model. In this study, Reptile is selected as the meta-learner. Reptile was proposed by researchers at OpenAI in 2018, and its core idea is to optimize model parameters by simulating “transfer” across a distribution of tasks. It utilizes a simple gradient descent process, training the base models across several different tasks. For each task, a few gradient descent updates are performed, and then the updated parameters are averaged and compared with the original data. This process yields a gradient pointing towards an “average task,” allowing for quick learning of new tasks.

The specific steps of the Reptile algorithm are as follows:

1) Initialization: Randomly initialize model parameters \(\theta ;\)

2) Task Sampling: Sample a batch of tasks \(T_{i}\) from the task distribution \(P\left(T\right)\). In this context, the tasks can be understood as different objective functions in the regression problem;

3) Inner Loop Update: For each task \(T_{i}\), extract a mini-batch of data \(D_{i}\) from its dataset. Use the data \(D_{i}\) to perform several gradient descent updates on the model parameters \(\theta\), resulting in new parameters \(\theta ';\)

4) Outer Loop Update: Compute the average of the new parameters \(\theta '\) obtained from all tasks, yielding a new parameter \(\theta _{new}\). Update the original parameters \(\theta\) as \(\theta \leftarrow \theta +\) \(\left(\theta _{new} -\theta \right)\).This step can be considered as an averaged update across multiple tasks;

5) Repeat Steps 2-4: Continue the update process until the model parameters converge or the predetermined number of iterations is reached.

2.2.1. Multilayer perceptron (MLP)

The Multilayer Perceptron (MLP) is a special type of feedforward neural network, also known as a deep feedforward network. It consists of a layered architecture composed of interconnected nodes or neurons, as illustrated in Figure 1. Its structure comprises three different layers: the input layer, the hidden layer(s), and the output layer. The input layer consists of a set of neurons corresponding to the input variables, and one or more hidden layers contain a certain number of neurons. Each node in the figure represents a neuron, and its input-output relationship can be expressed by Eq. (4): \[\label{GrindEQ__4_} y=h\left({\mathop{\sum }\limits_{j}} \omega _{j} x_{j} +b\right). \tag{4}\]

In the formula, \(y\) represents the output value of the neuron, \(x_{j}\) denotes the input value of the neuron, \(h\left(x\right)\) is the activation function, \(\omega _{j}\) represents the weight of the connection between nodes, and \(b\) is the bias value. These neurons perform nonlinear transformations on the data in the hidden layers using weighted linear combinations and nonlinear activation functions. As a result, the weight values and biases are optimized at each layer. The output from each hidden layer is continuously passed to subsequent layers until the final predicted result reaches the output layer.

The training of a multilayer perceptron involves the backpropagation algorithm, a technique used to minimize the loss function. The training samples are labeled, meaning their output values are known. The randomly initialized feature values of the samples are fed as inputs to the neural network, and through forward computation, the network produces output values. By comparing the network’s predicted values with the true output values of the samples, the weights and biases of each layer in the network are adjusted backward to minimize the loss function. Ultimately, the neural network learns to automatically derive the relationship between input and output.

2.2.2. Random forest (RF)

The Random Forest algorithm is an ensemble prediction technique based on decision trees. It constructs multiple decision trees for classification or regression, and makes coherent predictions for the target variable by means of voting or averaging. The working process is shown in Figure 2. Each decision tree consists of a root node with a training dataset, internal nodes where conditional states are set based on input variables, and leaf nodes that represent the actual values assigned to the target variable.

The construction of the decision tree model primarily involves recursively dividing the input dataset into subsets. The prediction value for each subset is generated using a multivariable linear regression model. Then, by continuously splitting the subsets into smaller branches, the model evaluates all potential splits within each field to promote the iterative growth of the tree. This step can be understood as finding an optimal, near-optimal, or even suboptimal split point within the tree’s subsets, increasing tree diversity while ensuring relatively optimal results. In the iterative process, least-squares deviation is used for the subdivisions. \[\label{GrindEQ__5_} R\left(t\right)=\frac{1}{N\left(t\right)} {\mathop{\sum }\limits_{i\in t}} \left(y_{i} -y_{m} \left(t\right)\right)^{2} . \tag{5}\]

In the formula, \(R\left(t\right)\) represents the error value at each node, \(N\left(t\right)\) denotes the number of units at the node, \(y_{i}\) represents the value of the target variable in the \(i\)-th unit, and \(y_{m}\) is the mean value of the target variable at node \(t\). The algorithm will stop when \(R\left(t\right)\) reaches its minimum or when it meets certain stopping criteria.

In regression tasks, each decision tree outputs a continuous value as its prediction, and the final prediction is the average of all the tree outputs. Using the collective opinions of multiple decision trees improves prediction accuracy, enhances the robustness of the model, and reduces the risk of overfitting that can occur in multilayer perceptions.

2.3. Ensemble forecasting method

Based on the mathematical form of the population development equation, it is clear that the key challenges and crucial points in population prediction lie in the calculation and estimation of indicators such as the population retention matrix, population transition matrix, and fertility pattern vector. The critical point in calculating the population retention matrix \(H^{s} \left(t\right)\) is the prediction of population mortality levels. By relying on data from the sixth and seventh national population censuses, and selecting highly correlated input and output data, the MLP-RF algorithm is utilized for deep learning to establish a gender- and age-specific retained population model. On the basis of the population retention matrix, the population transition matrix \(W^{s} \left(t\right)\) can be calculated and predicted by computing the difference between the retained population in year \(t\) and the retained population in year \(t-1\). At the same time, by predefining the age range of women of childbearing age and using the MLP-RF model to predict the retained population data by gender and age, the population data of women of childbearing age can be obtained. Then, by using the MLP-RF algorithm to identify the mathematical model between the population of women of childbearing age and the newborn population, newborn population predictions can be made. The process of population prediction based on the population development equation and the MLP-RF model is shown in Figure 3.

3. Numerical example

3.1. Data sources and processing

The data used are sourced from the 2010 Sixth National Population Census, the 2020 Seventh National Population Census, and population sampling data from 2010 to 2020. The population data of Hebei Province is selected as the case study. First, by combining the total population, birth rate, and natural growth rate from the two population censuses, the total population and mortality data by gender and age over a 10-year period (2010–2019) are organized and estimated. Next, based on the population sampling data, the difference between the retained population in year \(t\) and year \(t-1\) is calculated to obtain the population migration data. Finally, the population data of childbearing age (15-64 years old) by gender and age, as well as the population data of newborns (0 years old), are selected to train the fertility model \(y^{{\rm s}} (0)_{t}\). The specific data are shown in Tables 1 to 3. Due to the large volume of data, only the data and structure for a particular year are displayed:

Table 1 Partial population data by age and gender in 2010
Age population Population of male Population of female Death of male Death of female
0 1136461 610587 525874 13614 10591
1\(\sim\)4 4007713 2150553 1857162 5806 3602
5\(\sim\)9 4256974 2266152 1990823 1997 684
10\(\sim\)14 3302628 1757199 1545429 837 248
15\(\sim\)19 5203889 2651943 2551946 1528 566
20\(\sim\)24 7566465 3759012 3807454 3403 1565
25\(\sim\)29 5946704 2962997 2983709 2550 1280
30\(\sim\)34 4857325 2473781 2383544 2359 1083
35\(\sim\)39 5174753 2609815 2564939 3632 1695
40\(\sim\)44 6297435 3186559 3110873 6759 3128
45\(\sim\)49 5739783 2871820 2867962 9123 4462
50\(\sim\)54 4704672 2396406 2308268 12814 6319
55\(\sim\)59 4809622 2419612 2390011 21456 11300
60\(\sim\)64 3431129 1714407 1716722 25803 15141
65\(\sim\)69 2091111 1042786 1048325 24425 15662
70\(\sim\)74 1605949 798255 807695 31995 24143
75\(\sim\)79 1154141 536189 617952 32467 30901
80\(\sim\)84 616417 262379 354039 24802 32052
85\(\sim\)89 232813 87265 145548 11858 21144
90\(\sim\)94 54655 17725 36929 3121 7984
95\(\sim\)99 10397 3142 7254 503 2023
100+ 1029 210 819 134 361
Table 2 Birth population data from 2010 to 2020
Year Population of birth
Male Female
2010 610587 525874
2011 640956 562687
2012 668327 586990
2013 624125 548179
2014 634893 557826
2015 481812 423508
2016 587883 516649
2017 574494 504940
2018 466805 410400
2019 424051 372905
2020 360685 317216
Table 3 Partial population data by age and gender in 2010
Age Population of male Population of female Migration of male Migration of female
0 596973 515283 7353 6390
1\(\sim\)4 2144747 1853560 -6384 -2639
5\(\sim\)9 2264155 1990139 -3167 1184
10\(\sim\)14 1756362 1545181 465 3594
15\(\sim\)19 2650415 2551380 -12640 -10655
20\(\sim\)24 3755609 3805889 -47531 -42293
25\(\sim\)29 2960447 2982429 -41404 -29896
30\(\sim\)34 2471422 2382461 -30849 -19798
35\(\sim\)39 2606183 2563244 -26551 -14518
40\(\sim\)44 3179800 3107745 -19467 -10100
45\(\sim\)49 2862697 2863500 -8878 -427
50\(\sim\)54 2383592 2301949 -7549 1370
55\(\sim\)59 2398156 2378711 -16377 -4178
60\(\sim\)64 1688604 1701581 -20046 -10103
65\(\sim\)69 1018361 1032663 -20664 -13014
70\(\sim\)74 766260 783552 -27658 -22069
75\(\sim\)79 503722 587051 -30078 -30853
80\(\sim\)84 237577 321987 -22927 -31150
85\(\sim\)89 75407 124404 -10527 -19115
90\(\sim\)94 14604 28945 -2678 -6747
95\(\sim\)99 2639 5231 -508 -1294
100+ 76 458 -6 -3

Note: For ease of display, except for the population data of ages 0 and over 100, the rest of the age groups are displayed in 5-year intervals.

3.2. Model evaluation

Based on the predicted values from the model and the validation dataset, an error analysis is conducted to evaluate the model’s performance. In this study, the evaluation metrics used are the Coefficient of Determination (R²), Root Mean Squared Error (RMSE), and Mean Absolute Error (MAE). The specific descriptions of the evaluation metrics are as follows:

Table 4 Error analysis functions used for model evaluation
Error analysis function Mathematical formulas Performance evaluation
\(R^{2}\) \(R^{2} =1-\frac{\sum\limits_{i=1}^{n} \left(X_{P}^{i} -X_{M}^{i} \right)^{2} }{\sum\limits_{i=1}^{n} \left(\overline{X_{M} }-X_{M}^{i} \right)^{2} }\) The proportion of the dependent variable’s variability explained by the independent variables in the regression model, evaluating the goodness of fit between the data and the model.
RMSE \(RMSE=\sqrt{\frac{\sum\limits_{i=1}^{n} \left(X_{P}^{i} -X_{M}^{i} \right)^{2} }{n} }\) The square root of the total squared error between the predicted results and the validation dataset, which is highly sensitive to large prediction errors.
MAE \(MAE=\frac{\sum\limits_{i=1}^{n} \left|X_{P}^{i} -X_{M}^{i} \right|}{n}\) The absolute error between the predicted results and the validation dataset, describing the accuracy of the model’s predictions.

In the Table 4, \(X_{M}^{i}\) represents the actual value of the population at age \(i\), \(X_{P}^{i}\) represents the predicted value of the population at age \(i\), \(\overline{X_{M} }\) is the average population across all ages, and \(n\) is the maximum age range of the population. Here, \(n\) is set to 100 or the specified number of age groups.

3.3. Model training results

3.3.1. Retained population model

When training the retention population model by gender and age group, we first perform regression training on the total population and the deceased population. The training parameters in the MLP and RF models are set respectively. The hidden_layer represents the number of hidden layers in the MLP, which is set to (400, 600) here. Max_iter refers to the maximum number of iterations, set to 2000. alpha represents the regularization strength coefficient to prevent model overfitting, set to 0.001. solver refers to the algorithm used to solve optimization problems, where the LBFGS (Limited-memory Broyden Fletcher Goldfarb Shanno) algorithm is selected. random_state is used to initialize the random number generator’s state, set to 0 here. learning_rate_init indicates the initial learning rate of the model, set to 0.01. n_estimators represents the number of trees in the Random Forest, set to 10,000. max_depth refers to the maximum depth of the trees, set to 100. n_jobs represents the number of parallel processors used, set to 6. min_samples_split is an important parameter in the Random Forest, controlling the minimum number of samples required to split a node, set to 2. min_samples_leaf controls the minimum number of samples required in a leaf node, set to 1.

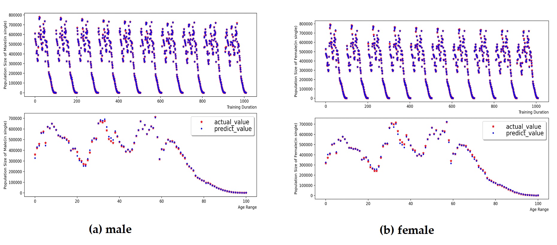
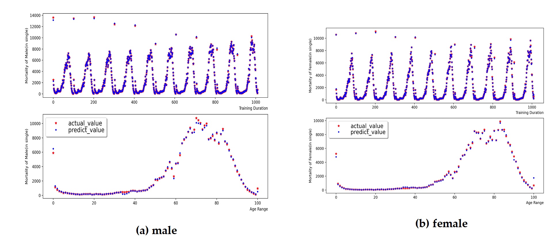
Figure 4 and Figure 5 present the training process and prediction results of the total population and deceased population by gender and age group. The model was trained using population data from 2010 to 2019, and population predictions for 2020 were obtained. Using the natural retention population matrix, the retention population by gender and age group, as shown in Figure 6, was obtained. The model was evaluated using an error function, where the for the male retention population model was 0.998, the RMSE was 10515.3, and the MAE was 6974.3. For the female retention population model, the was 0.997, the RMSE was 10932.4, and the MAE was 7641.8. This indicates that the MLP-RF stacked model has a high prediction accuracy for the retention population, with relatively small root mean square error and mean absolute error, suggesting that there are few instances of significant deviation in the prediction results.

3.3.2. Retained population model

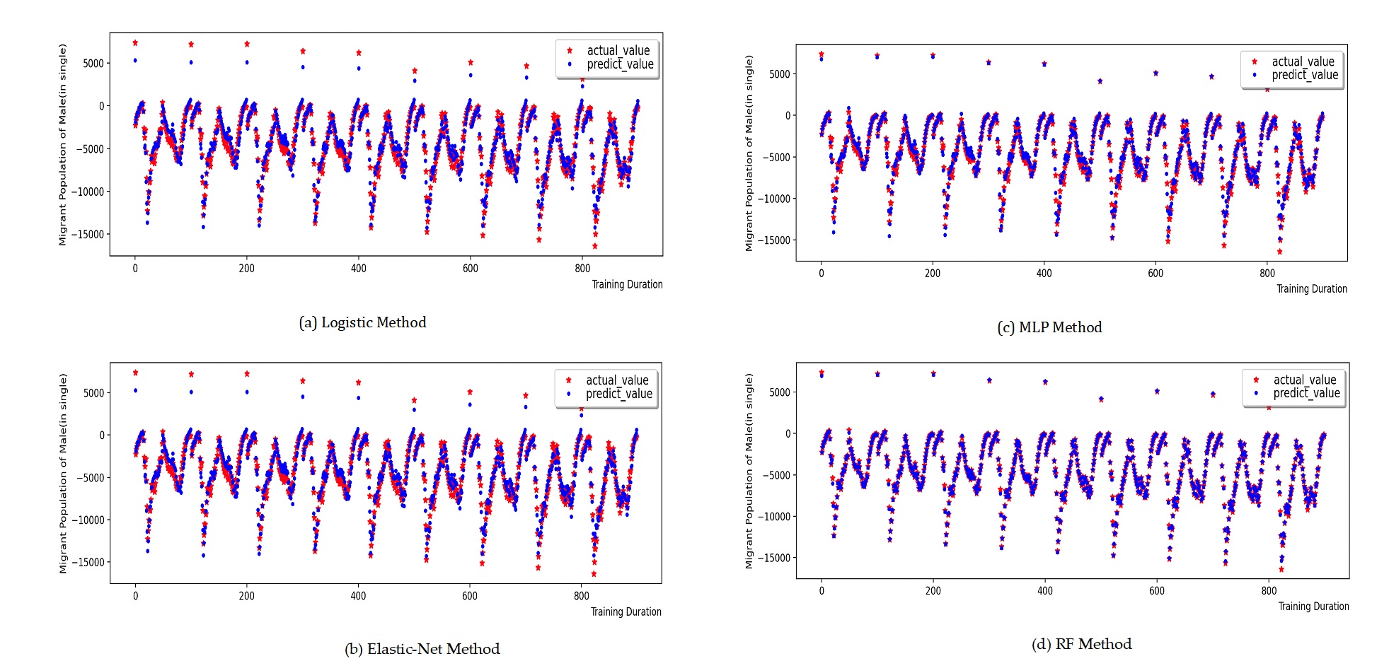
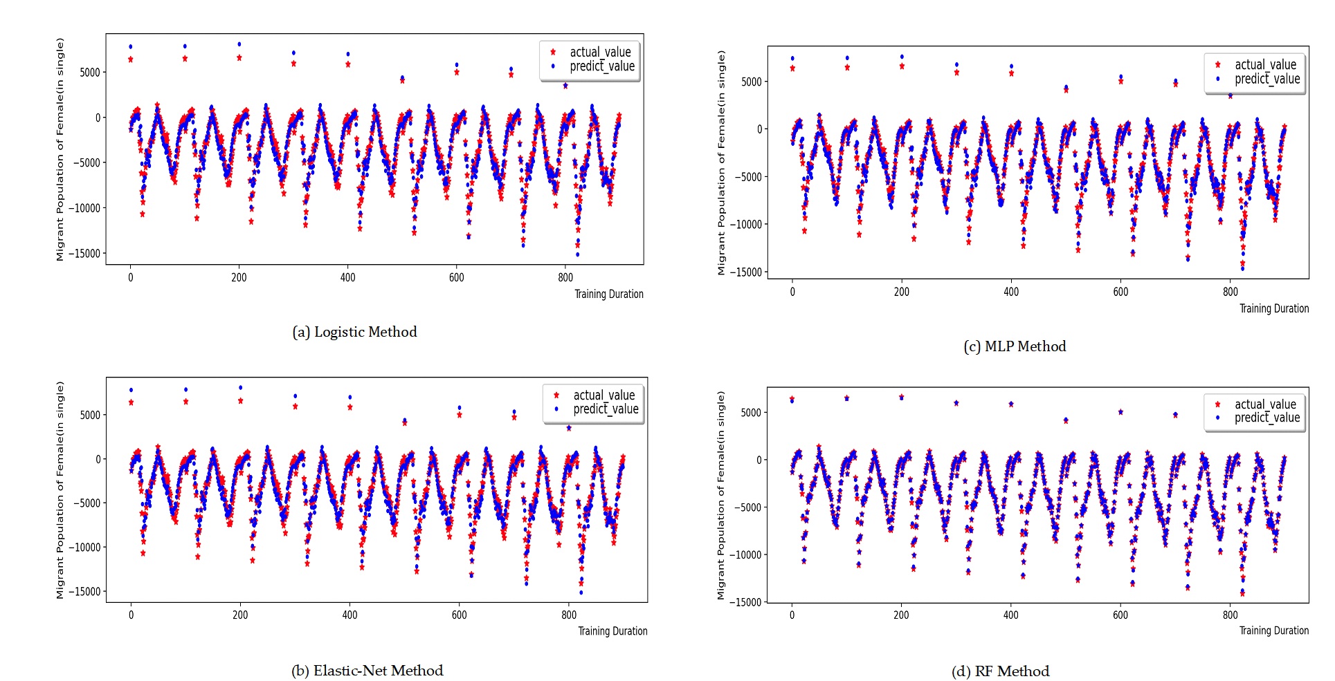
The migration population model by gender and age group uses parameters similar to those used in the retention population model during the training process. In the migration population model, the parameter is added to control decision tree pruning. The study used population migration data from Hebei Province from 2010 to 2018, and obtained population migration prediction data for 2019, as shown in Figure 7.

By calculating the error function of the predicted data, it is found that the \(R^{2}\) of the male migrant population model is 0.995, RMSE is 255.43, and MAE is 189.07; the \(R^{2}\) of the female migrant population model is 0.999, RMSE is 266.70, and MAE is 197.43. Error analysis results show that the MLP-RF stack model is still very accurate in predicting the transfer population, especially the female transfer population, and the reason for the relatively simplified composition of the transfer population data cannot be ruled out. Subsequently, multi-source mobile communication data can be introduced for model training, which can more truly reflect the migration and flow state of the population.

3.3.3. Birth population model

The gender-specific birth population prediction model was trained using gender- and age-specific population data from 2010 to 2019. The population aged 15 to 64 was defined as the reproductive population, while the population aged 0 was used as the birth population data. In addition to the previously mentioned model parameters, this model also included settings for min_weight_fraction_leaf, max_samples, min_impurity_decrease, and ccp_alpha. These settings constrain the sample weight proportion for the leaf nodes of the decision tree, the number of base model samples, and the minimum reduction in node impurity.

Figure 8 shows the training process and prediction results of the birth population model by gender. The predicted male birth population deviates from the actual value by 1,035, with a mean absolute percentage error (MAPE) of 0.29%. The predicted female birth population deviates from the actual value by 1,021, with a MAPE of 0.33%. Based on these results, it can be concluded that the stacked model achieves high accuracy in predicting both male and female birth populations.

4. Model analysis

In section 3 , the stacked model of multi-layer perceptron and random forest along with the population development equation was employed to predict the population. Does this combined prediction model have an advantage in fitting accuracy compared to other commonly used prediction models? This paper selected four approaches, namely the statistical model (Logistic), the linear regression model (Elastic-Net), the individual multi-layer perceptron, and the random forest algorithm, to train and predict the death population model and the transfer population model in population prediction, and conducted a comparative analysis with the prediction results of the MLP-RF combined prediction model.

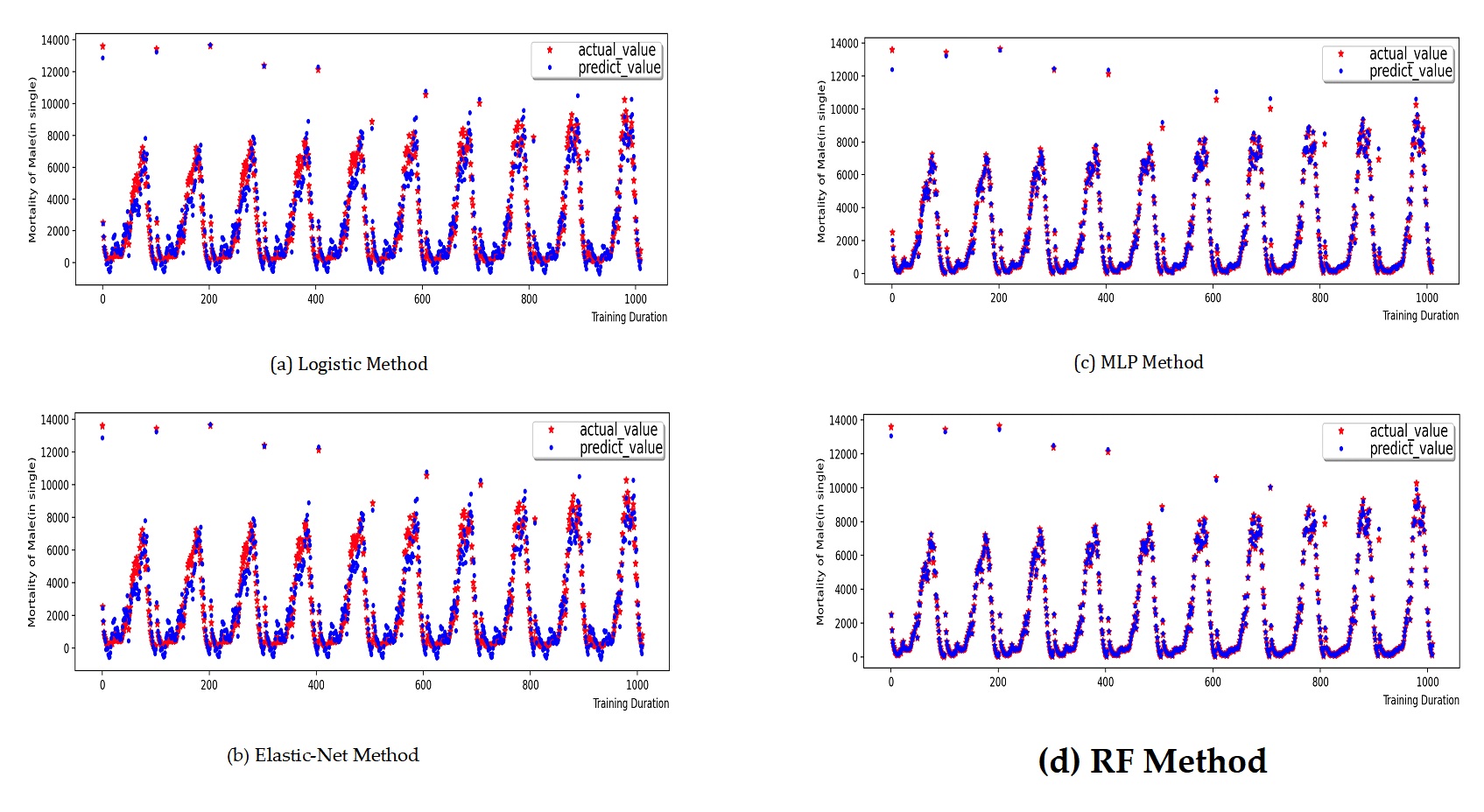
The training process and prediction results of the contrastive prediction algorithm for the death population by gender and age are depicted in Figure 9 Figure 12. Through the calculation and analysis of the error function (Table 5 to Table 6), it can be observed that the Logistic model and the Elastic-Net model exhibit a poor degree of fit. This is attributed to their utilization of linear assumptions for data identification and the presence of multi-collinearity issues in the population data, leading to a significant over-fitting phenomenon in the 0-45 age range and a larger total error of the data. The MLP model and the RF model have a better degree of fit, indicating that these two models possess a stronger ability to identify data. Nevertheless, the MLP-RF stacked model has a relatively better degree of fit and a smaller data error, suggesting that the stacked model integrates the advantages of the two machine learning models and enhances the prediction accuracy of the population data.

Table 5 Error analysis of male deaths predicted by each prediction model
\(R^{2}\) RMSE MAE
MLP-RF 0.998 142 84
Logistic 0.951 753 590
Elastic-Net 0.951 752 589
MLP 0.998 138 92
RF 0.993 267 145
Table 6 Error analysis of female deaths predicted by each prediction model
\(R^{2}\) RMSE MAE
MLP-RF 0.998 150 72
Logistic 0.955 648 495
Elastic-Net 0.955 647 493
MLP 0.997 167 96
RF 0.993 258 124

Figure 13 to Figure 16 present the training process and prediction results of each contrastive prediction algorithm for the migrant population by gender and age. In conjunction with the graph curves and the calculation and analysis of the error function (Table 5 to Table 6), it can be verified that the MLP-RF stacked model has more advantages in predicting the migrant population compared to traditional statistical models, linear regression models, and standalone machine learning models.

Table 7 Error analysis of male migrations predicted by each prediction model
\(R^{2}\) RMSE MAE
MLP-RF 0.995 255 189
Logistic 0.956 768 615
Elastic-Net 0.956 766 613
MLP 0.981 498 342
RF 0.991 332 226
Table 8 Error analysis of female migrations predicted by each prediction model
\(R^{2}\) RMSE MAE
MLP-RF 0.999 267 197
Logistic 0.993 696 565
Elastic-Net 0.993 695 564
MLP 0.996 537 433
RF 0.998 285 176

5. Conclusions

This study is based on a discrete population development equation and a stacked model of two machine learning algorithms, Multilayer Perceptron (MLP) and Random Forest (RF).The population data of the Sixth Population Census and the Seventh National Population Census were reconstructed to obtain the population data of Hebei Province by gender and age from 2010 to 2020, and the model training and prediction of the deaths, retained populations, migrant populations and births of Hebei Province by sex and age were carried out. This study addresses the following technical challenges:

1) Data reconstruction: To ensure the data met the operational requirements of the discrete population development equation, the census data were reconstructed by gender and age using annual population sampling data and other statistical sources. This approach significantly expanded the training dataset’s capacity and addressed the issue of insufficient data size.

2) Model Integration: The integration process involved addressing the coupling effects on parameter design within the two models. A reptile meta-learner was employed to facilitate this integration. Through extensive debugging sessions, the design of key parameters for both models was finalized, allowing the complementary strengths of the two algorithms to enhance the overall performance of the integrated model.

By analyzing and comparing the forecasting models, the following key conclusions can be drawn:

1) Using the discrete population development equation as the basic prediction model, the MLP-RF stacked model was employed to identify and predict parameters such as the natural retention rate and birth rate, which would otherwise need to be manually preset. This approach not only considers the internal statistical mechanisms of population change but also avoids prediction errors caused by preset parameters to some extent.

2) According to the prediction results, the MLP-RF stacked model achieved high accuracy in predicting retention population, migration population and birth population. The model showed good fitting results for population counts across different genders and age groups. However, the census data used for model training still has some problems, such as single source and poor real-time performance, which makes it impossible to give full play to the ability of machine learning model for large-scale data processing. Future research could address this by incorporating larger datasets with more diverse sample types and more real-time mobile communication data, providing strong support for migration population predictions.

The integration of multiple machine learning models into a new stacked model shows promising results for population prediction, particularly in analyzing age- and gender-specific population structures and forecasting mortality and birth rates. With the development of mobile communication data, the stacked model has a strong potential for large-scale data training and prediction.

Funding

This work was supported by Soft Science Research Project of Innovation Ability Improvement Plan in Hebei Province (Grant number: 23556103D).

References:

  1. A. Akimov, K. Gemueva, and N. Semenova. The seventh population census in the PRC: results and prospects of the country’s demographic development. Herald of the Russian Academy of Sciences, 91(6):724–735, 2021. https://doi.org/10.1134/S1019331621060083.
  2. O. Antamoshkina, O. Zinina, and J. Olentsova. Forecasting the population life quality as a tool of human capital management. In “New Silk Road: Business Cooperation and Prospective of Economic Development”(NSRBCPED 2019), pages 821–825. Atlantis Press, 2020. https://doi.org/10.2991/aebmr.k.200324.152.
  3. C. Bai and X. Lei. New trends in population aging and challenges for China’s sustainable development. China Economic Journal, 13(1):3–23, 2020. https://doi.org/10.1080/17538963.2019.1700608.
  4. G. Chi and H. C. Ho. Population stress: a spatiotemporal analysis of population change and land development at the county level in the contiguous United States, 2001–2011. Land Use Policy, 70:128–137, 2018. https://doi.org/10.1016/j.landusepol.2017.10.008.
  5. J. Dai and S. Chen. The application of ARIMA model in forecasting population data. In Journal of Physics: Conference Series, volume 1324 of number 1, page 012100. IOP Publishing, 2019. https://dx.doi.org/10.1088/1742-6596/1324/1/012100.
  6. T. Dax and M. Fischer. An alternative policy approach to rural development in regions facing population decline. European Planning Studies, 26(2):297–315, 2018. https://doi.org/10.1080/09654313.2017.1361596.
  7. G. Fang, Q. Wang, and L. Tian. Green development of Yangtze River Delta in China under population-resources-environment-development-satisfaction perspective. Science of the Total Environment, 727:138710, 2020. https://doi.org/10.1016/j.scitotenv.2020.138710.
  1. P. Gans. Urban population development in Germany (2000–2014): the contribution of migration by age and citizenship to reurbanisation. Comparative Population Studies, 42, 2017. https://doi.org/10.12765/CPoS-2018-01.
  2. M. Ilyas, S. Abbas, W. Ali, and S. M. Raza. Application of stochastic regression models: ARIMA (p, d, q)-HW algorithm approach for human population forecasting. Ratio, 1:5, 2024.
  3. Z. Jabrayilova. Development of intelligent demographic forecasting system. Eastern-European Journal of Enterprise Technologies, 5(2):18–25, 2019. https://doi.org/10.15587/1729-4061.2019.178440.
  4. B. Khursanaliev. The impact of population growth on the country’s economic development. Qo‘qon Universiteti Xabarnomasi, 1:8–11, 2023. https://doi.org/10.54613/ku.v6i6.236.
  5. T. M. Li. After development: surplus population and the politics of entitlement. Development and Change, 48(6):1247–1261, 2017. https://doi.org/10.1111/dech.12344.
  1. M. S. H. Mondal. The implications of population growth and climate change on sustainable development in Bangladesh. Jàmbá: Journal of Disaster Risk Studies, 11(1):1–10, 2019. https://hdl.handle.net/10520/EJC-13b8cad1c4.
  2. A. N. Rakhimov, G. K. Makhmatkulov, and A. M. Rakhimov. Construction of econometric models of development of services for the population in the region and forecasting them. The American Journal of Applied Sciences, 3(02):21–48, 2021. https://doi.org/10.37547/tajas/Volume03Issue02-03.
  3. H. L. Shang, S. Haberman, and R. Xu. Multi-population modelling and forecasting life-table death counts. Insurance: Mathematics and Economics, 106:239–253, 2022. https://doi.org/10.1016/j.insmatheco.2022.07.002.
  4. J. L. Simon. The Economics of Population Growth. Princeton University Press, 2019.
  5. J. F. Sørensen. The importance of place-based, internal resources for the population development in small rural communities. Journal of Rural Studies, 59:78–87, 2018. https://doi.org/10.1016/j.jrurstud.2018.01.011.
  6. M. Uzair Ali, Z. Gong, M. U. Ali, F. Asmi, and R. Muhammad. CO₂ emission, economic development, fossil fuel consumption and population density in India, Pakistan and Bangladesh: a panel investigation. International Journal of Finance & Economics, 27(1):18–31, 2022. https://doi.org/10.1002/ijfe.2134.
  7. S. E. Vollset, E. Goren, C.-W. Yuan, J. Cao, A. E. Smith, T. Hsiao, C. Bisignano, G. S. Azhar, E. Castro, and J. Chalek. Fertility, mortality, migration, and population scenarios for 195 countries and territories from 2017 to 2100: a forecasting analysis for the global burden of disease study. The Lancet, 396(10258):1285–1306, 2020. https://doi.org/10.1016/S0140-6736(20)30677-2.
  1. A. Warchold, P. Pradhan, and J. P. Kropp. Variations in sustainable development goal interactions: population, regional, and income disaggregation. Sustainable Development, 29(2):285–299, 2021. https://doi.org/10.1002/sd.2145.
  2. K. Wilson. Re-centring ‘race’ in development: population policies and global capital accumulation in the era of the SDGs. In The Politics of Destination in the 2030 Sustainable Development Goals, pages 97–114. Routledge, 2018.
  3. T. Wilson. Preparing local area population forecasts using a bi-regional cohort-component model without the need for local migration data. Demographic Research, 46:919–954, 2022. https://doi.org/10.4054/DemRes.2022.46.32.
  4. F. Xu, Z. Wang, G. Chi, and Z. Zhang. The impacts of population and agglomeration development on land use intensity: new evidence behind urbanization in China. Land Use Policy, 95:104639, 2020. https://doi.org/10.1016/j.landusepol.2020.104639.